На этой странице вы узнаете
- Как благодаря окислительно-восстановительным реакциям получают топливо?
- Где находят применение различные продукты окисления?
- Какую роль в окислении играют микроорганизмы?
Невозможно представить наш мир без окислительно-восстановительных реакций, а особенно без подобных реакций в органической химии: на них держится производство множества вещей, а также обмен веществ в живых организмах. Давайте подробнее изучим эти удивительные и такие необходимые реакции!
Окислительно-восстановительные реакции
Для начала вспомним все основные понятия в окислительно-восстановительных реакциях.
Окислительно-восстановительные реакции (ОВР) — реакции, протекающие с изменением степеней окисления атомов.
Как мы видим из названия, в ходе реакции происходят процессы окисления и восстановления.
Окисление — отдача электронов.
Так как восстановитель отдает электроны в реакции, то окисление — это процесс, происходящий именно с ним:
восстановитель окисляется (= отдает электроны)
Восстановление — взятие электронов.
Так как окислитель берет электроны, то восстановление — это процесс, протекающий с ним:
окислитель восстанавливается (= принимает электроны)

Чаще всего в органической химии встречаются реакции окисления, поэтому начнем наше изучение темы с них.
Реакции окисления
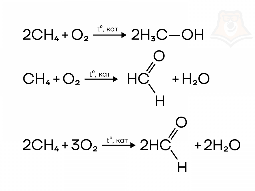
I. Окисление алканов
Окисление алканов может протекать различными путями, разберем самые важные.
- Взаимодействие с кислородом.
Реакция проводится в присутствии катализатора, в зависимости от условий может образоваться весь набор кислородсодержащих соединений: спирт, альдегид или карбоновая кислота.

- Паровая конверсия метана
При обработке метана водяным паром в присутствии никелевого катализатора получают синтез-газ.


| Как благодаря окислительно-восстановительным реакциям получают топливо? Синтез-газ («водяной газ», «генераторный газ») — смесь монооксида углерода и водорода. Синтез-газ используется в химической промышленности для получения различного сырья, а также в качестве экологически чистого источника электрической и тепловой энергии. Сжигая синтез-газ, можно получить достаточно большое количество тепла, которое можно использовать в самых различных целях. Производство синтез-газа постоянно совершенствуется, поскольку востребованность данного сырья неизменно растет с каждым годом. Сегодня мусороперерабатывающие заводы способны добывать такое ценное сырье как синтез газ в процессе утилизации отходов. |
- Полное окисление. Горение.
Все органические вещества, содержащие атомы углерода и водорода, горят с образованием углекислого газа и воды.
CH4 + O2 = CO2 + H2O
А теперь перейдем к изучение окисления веществ с кратной связью!
II. Окисление алкенов и алкадиенов
- Жесткое окисление
Проводят сильными окислителями при нагревании, цепь алкена разрывается по месту двойной связи, образуются два продукта, строение которых зависит от строения исходной цепи. Продукты также зависят от среды протекания процесса.


- Мягкое окисление
В нейтральной среде при температуре 0°C алкены окисляются раствором перманганата калия до двухатомных спиртов (мягкое окисление, реакция Вагнера).

- Вакер-процесс.
Каталитичекое окисление алкенов протекает в присутствии катализаторов хлорида палладия и хлорида меди(II), данная реакция возможна только для этилена и приводит к образованию этаналя (уксусного альдегида).

Настало время практики!
Потренируемся над окислительно-восстановительными реакциями в органике, а для этого решим аналог задания №14 ЕГЭ.
Задание. Установите соответствие между реагирующими веществами и органическим продуктом, который образуется при взаимодействии этих веществ: к каждой позиции, обозначенной буквой, подберите соответствующую позицию, обозначенную цифрой.

Решение. Запишем уравнения реакций:
А) Для реакции в зависимости от условия возможны три продукта, но в списке веществ есть только метанол — его и берем в ответ.

Б) В ходе вакер-процесса образуется уксусный альдегид.

В) Мягкое окисление дает нам диолы, в данном случае этандиол (этиленгликоль).

Г) Жесткое окисление приводит к разрыву связи, образуются СО2 (неорганический продукт) и уксусная кислота (органический продукт).

Ответ: 1436
Окисление алкадиенов протекает аналогично окислению алкенов. А вот окисление алкинов имеет свои особенности, о которых мы сейчас и поговорим.
III. Окисление алкинов
Жесткое окисление алкинов аналогично окислению алкенов.

А вот мягкое окисление протекает иначе. Для большинства соединений провести данную реакцию мы не можем, продукт будет очень неустойчивым, но для ацетилена реакция протекает — присоединяются две -ОН группы, образуется неустойчивое соединение, которое переходит в устойчивую щавелевую кислоту, отсоединяя молекулы воды. В дальнейшем щавелевая кислота взаимодействует со щелочью с образованием оксалата.

| Где находят применение различные продукты окисления? Многие одноатомные спирты используются в качестве растворителей, но некоторые представители данного класса имеют уникальные сферы применения. Например, метанол необходим для синтеза формальдегида, а этанол, кроме общеизвестного применения в алкогольной промышленности, также является реагентом для синтеза каучуков, лаков, лекарств и многого другого! Многоатомные спирты имеют различные сферы применения: этиленгликоль является компонентов антифризов, а вот глицерин применяется в медицинской и косметической промышленности. Уксусная кислота применяется для консервирования овощей, а вот лимонная — для удаления накипи. |
Настало время разобраться с окислением ароматических веществ. Предупреждаем, будет очень интересно!
IV. Окисление ароматических веществ
Сам бензол окислению не подвергается, реакция идет с его гомологами, при этом всегда происходит разрыв связи после альфа-атома углерода (ближайшего к кольцу углерода в радикале).

Продукт окисления зависит от среды протекания реакции.

Разберем примеры реакций. В ходе окисления этилбензола в кислой среде происходит разрыв связи в радикале: одна часть углеродной цепи окисляется до бензойной кислоты, а оставшийся — до СО2.

А вот при окислении пропилбензола в нейтральной среде образуется соль карбоновой кислоты (ацетат калия) и соль бензойной кислоты (бензоат калия).

Кроме жесткого окисления возможно каталитическое окисление кумола — окисление изопропилбензола (кумола) кислородом воздуха в присутствии серной кислоты.

Это основной промышленный способ получения фенола.
Настало время практики!
Потренируемся над окислительно-восстановительными реакциями в органике, а для этого решим пример задания №12 ЕГЭ.
Задание. Из предложенного перечня выберите все углеводороды, которые под действием подкисленного раствора перманганата калия превращаются в карбоновую кислоту:
1)этан
2) этилен
3) бензол
4) гексен-1
5) пропен
Решение. Этан (алкан) и бензол окислению перманганатом не подвергаются.
При окисление этилена образуются две молекулы СО2, вариант не подойдет.

А вот окисление алкенов (гексена-1 и пропена) даст нам карбоновые кислоты.


Ответ: 45
На поле боя выходит новый герой — кислород! Рассмотрим, как окисляются соединения, содержащие его в своем составе.
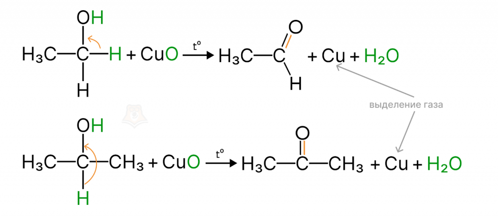
V. Окисление спиртов
Окисление спиртов может приводить к образованию альдегидов, кетонов или карбоновых кислот.
Окислять спирты можно действием:
- оксида меди(II) (CuO);
- перманганата калия (KMnO4);
- бихромата калия (K2Cr2O7).
Под действием оксида меди(II) из первичных спиртов образуются альдегиды, из вторичных — кетоны, третичные спирты не вступают в подобные реакции.


Реакция с оксидом меди(II) является качественной на одноатомные спирты, образуется красный осадок меди.
Окисление спиртов также протекает на медном катализаторе при нагревании, в ходе реакции наблюдается выделение газа (водорода).

При использовании более сильных окислителей, таких как перманганат или бихромат калия, получить из первичного спирта альдегид становится непростой задачей. Дело в том, что альдегиды в таких условиях окисляются дальше, конечным продуктом окисления являются карбоновые кислоты.


Окисление вторичных спиртов все так же приводит к образованию кетонов.

Третичные спирты окислению не подвергаются.

От спиртов плавно переходим к одним из возможных продуктов окисления — альдегидам и кетонам.
VII. Окисление кетонов
- Реакция серебряного зеркала.
Такое название эта реакция получила из-за того, что на стенках колбы или пробирки, в которой проводилась реакция, образуется красивый налет серебра. В ходе реакции происходит взаимодействие альдегидов с аммиачным раствором оксида серебра (реактив Толленса), при этом образуется аммиачная соль карбоновой кислоты.

Исключение: формальдегид окисляется до карбоната аммония.


Реакция серебряного зеркала является качественной на альдегиды. Кетоны не вступают в реакцию серебряного зеркала.

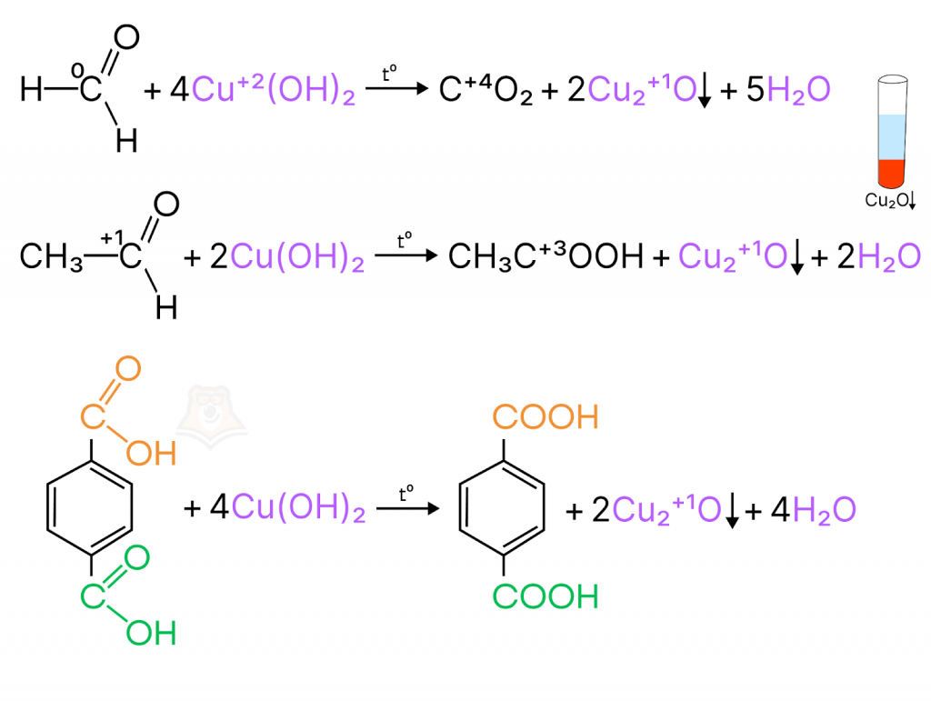
- Взаимодействие с гидроксидом меди(II).
В результате реакции выпадает красно-кирпичный осадок оксида меди(I).
Альдегиды, за исключением муравьиного, при этом окисляются до карбоновых кислот. Муравьиный альдегид дает углекислый газ.


Качественная реакция на альдегиды. Кетоны в эту реакцию не вступают.

- Жесткое окисление альдегидов.
При окислении перманганатами или хроматами в кислой среде альдегиды превращаются в карбоновые кислоты, в нейтральной или щелочной — в соли карбоновых кислот.

Рассмотрим реакцию окисления этаналя перманганатом калия в нейтральной среде. У этой реакции есть одна особенность. В результате реакции образуется не только соль карбоновой кислоты – ацетат калия, но и уксусная кислота. Щелочь, которая образуется в ходе реакции, не может полностью нейтрализовать кислоту до ее соли.
- Окисление хлорной и бромной водой (обесцвечивание).
Хлор и бром, являясь сильными окислителями, могут также окислять альдегиды до карбоновых кислот. При этом в случае с бромной водой происходит обесцвечивание раствора.

Казалось бы, карбоновые кислоты являются конечным продуктом окисления различных органических соединений, но не все так просто.
VIII. Окисление карбоновых кислот
Если внимательно посмотреть на структурную формулу муравьиной кислоты, то можно заметить, что она одновременно относится и к карбоновым кислотам, и к альдегидам.

Наличие альдегидной группы приводит к тому, что муравьиная кислота легко вступает в реакции окисления.
- Реакция серебряного зеркала.
HCOOH + 2[Ag(NH3)2]OH → (NH4)2CO3 + 2Ag + 2NH3 + H2O
- Окисление гидроксидом меди(II).
HCOOH + 2Cu(OH)2 → CO2 + Cu2O + 3H2O
- Окисление растворами перманганата и бихромата калия.
3HCOOH + 2KMnO4 → 2CO2 + K2CO3 + 2MnO2 + 3H2O
Самое сладкое и интересное напоследок — пора узнать о реакциях окисления с участием углеводов!
X. Окисление углеводов
В ходе реакций окисления альдегидная группа окисляется до карбоксильной, в нейтральной и кислой среде образуется глюконовая кислота, в щелочной — ее соли. Для альдоз — моносахаридов, содержащих углеводную группу — характерны несколько различных реакций окисления.
- Реакция серебряного зеркала.

- Окисление гидроксидом меди(II).

- Окисление растворами перманганата и бихромата калия.
Отдельного внимания заслуживает такой тип окисления, как брожение.
- Спиртовое брожение — процесс, сопровождающийся образованием этилового спирта.

- Молочнокислое брожение, как очевидно следует из названия, приводит к образованию молочной кислоты.

- Маслянокислое брожение, аналогично, приводит к образованию масляной (бутановой) кислоты.
- Лимоннокислое брожение же сопровождается образованием лимонной кислоты.

| Какую роль в окислении играют микроорганизмы? Люди уже давно получают и используют продукты природного процесса брожения в своих интересах. Квашеные овощи, вино, сыр, кисломолочные продукты — все это результат жизнедеятельности бактерий брожения, которые вкладывают собственную энергию в обеспечение протекания химических реакций. Молочнокислые бактерии (лактобактерии) играют важную роль в поддержании здоровья желудочно-кишечного тракта: бактерии гниения погибают в среде, где основу составляют продукты жизнедеятельности молочных бактерий. |

С окислением мы разобрались, а как же обстоят дела с восстановлением?
Реакции восстановления
В качестве восстановителей используются различные вещества, но чаще всего мы сталкиваемся с водородом.
- Гидрирование алкенов, алкадиенов, алкинов и ароматических веществ.
Присоединение водорода протекает на катализаторе из никеля, платины или палладия.
В ходе реакции кратные связи переходят в одинарные.

- Гидрирование альдегидов и кетонов
При гидрировании данных соединений рвется участок C=O и замещается на С-ОН (водород присоединяется к кислороду), образуются спирты.

Мы узнали все виды окислительно-восстановительных реакций в органике. Настало время научиться уравнивать наши реакции!
Метод электронного баланса в органических реакциях
Метод электронного баланса в органической химии похож на метод в неорганической, но имеет свои нюансы.
- Для начала нужно расставить степени окисления в реагентах и продуктах, определить окислитель и восстановитель.

- Если реакция протекает с кислородом или водородом, можно попробовать уравнять ее интуитивно, без составления электронного баланса.
- Если уравнять интуитивно невозможно, необходимо составить электронный баланс.
- Исходя из электронного баланса нужно уравнять молекулы окислителя и восстановителя.
- Уравнять оставшиеся атомы, в последнюю очередь водород.
- Сделать проверку по кислороду.
Разберем на примере жесткого окисления пропена.

Изначально в пропене первый атом углерода находится в степени окисления -2 (связан с двумя водородами с зарядами +1), второй атом имеет СО -1 (связан с одним водородом +1), а третий — СО -3 (связан с тремя водородами).
В продуктах первый атом углерода отсоединяется и окисляется до СО2, его степень окисления повышается с -2 до +4. Это восстановитель.
Второй атом при разрыве кратной связи окисляется до радикала -СООН, он связан с одним кислородом с зарядом -2 и одной гидроксо-группой, имеющей заряд -1. Чтобы уравновесить общий отрицательный заряд от кислорода и ОН-группы, заряд углерода будет равен +3. То есть второй атом повышает СО с -1 до +3. Это тоже восстановитель.
А вот марганец в перманганате имел степень окисления +7, а в продуктах у него +2 — степень окисления понижается. Это окислитель.
Уравнять интуитивно не получится, запишем электронный баланс.

Поставим к соединениям марганца коэффициент 2.

Остальные элементы уже уравнены, при проверке по кислороду видим, что реакция записана верно.
Сегодня мы познакомились с абсолютно новой стороной давно известной темы окислительно-восстановительных реакций — со стороны органических процессов. А для лучшего понимания материала рекомендуем прочитать статью «Генетическая связь между классами органических соединений».
Термины
Гомологи — соединения, отличающиеся на одну или несколько СН2-групп.
Степень окисления (СО) — это условный заряд атома элемента, вычисленный на основе предположения, что все связи в данном соединении являются ионными (показывает, сколько электронов атом «притянул» или, наоборот, «отдал» при образовании химической связи).
Фактчек
- Органические соединения подвергаются реакциям окисления и восстановления, но реакции окисления встречаются чаще.
- Алканы могут подвергаться окислению с образованием различных кислородсодержащих соединений, а также с образованием синтез-газа.
- Окисление веществ с кратной связью может быть жестким: образуются карбоновые кислоты, их соли или кетоны, — а также мягким: образуются диолы.
- Бензол не вступает в реакции окисления, а вот его гомологи окисляются с образованием бензойной кислоты и иных продуктов, зависящих от радикала.
- Кислородсодержащие соединения окисляются от от спиртов до альдегидов, а альдегиды, в свою очередь, переходят при окислении в карбоновые кислоты.
- Муравьиная кислота способна окисляться до СО2.
- Углеводы вступают в реакции аэробного и анаэробного окисления (брожения).
- Реакции восстановления чаще всего проводятся с водородом.
- Для уравнивания органической ОВР нужно следовать определенному плану.
Проверь себя
Задание 1.
Какая из перечисленных реакций является реакцией окисления?
- Взаимодействие галогеналканов с водным раствором щелочи
- Гидрирование
- Горение алканов
- Этерификация
Задание 2.
Какое из перечисленных веществ может быть только восстановителем?
- Водород
- Кислород
- Перманганат калия
- Бромная вода
Задание 3.
Что образуется в ходе мягкого окисления ацетилена?
- Этиленгликоль
- Карбонат
- Уксусная кислота
- Щавелевая кислота
Задание 4.
Какое из соединений реагирует с перманганатом калия в кислой среде?
- Этан
- Бензол
- Муравьиная кислота
- Уксусная кислота
Ответы: 1. — 3; 2. — 1; 3. — 4; 4. — 3.