Генетическая связь между классами органических соединений
На этой странице вы узнаете
- Как мочевина разрушила целое учение?
- Лайфхак для легкого решения химических цепочек — как вещества превращаются из одних в другие?
Сегодня мы с вами обобщим все наши знания о классах органических веществ, еще раз убедимся в том, что органика очень понятна и логична. Если кто-то не знает генетику из курса биологии, не переживайте, она нам не пригодится.
Генетическая связь
Генетическая связь — связь между классами соединений, которая отражает возможность превращения соединений одного класса в соединения другого класса.
Органические вещества занимают в нашей жизни большое место. Это изделия из пластика и резины, косметика, чистящие средства. Все вещества, из которых делаются эти изделия, получают путем химических реакций. Из ацетилена можно синтезировать бензол, ацетальдегид, эфиры. Метанол — основа для получения формальдегида, винилацетата, метиламина. Мы можем заметить, что все перечисленные вещества относятся к разным классам. Это и есть та самая генетическая связь — вещество одного класса превращается в соединение другого.
Генетическая связь иллюстрирует такую философскую идею, как детерминизм — идея о причинности, закономерности, взаимодействии и обусловленности всех явлений и процессов, которые происходят во всем мире.
Генетическая связь существует не только между органическими веществами, она также есть и в неорганике. Например, какой-нибудь неметалл может образовать кислотный оксид, затем кислоту, а потом и соль. Более того, генетическая связь возможна непосредственно между органическими и неорганическими веществами.
| Как мочевина разрушила целое учение? До 19 века в химии, да и во всей науке в целом, было популярно учение о витализме — жизненной силе. Теория витализма заключалась в наличии у живых существ особой «жизненной силы», которая присутствует в виде некой ауры, биологически активных полей. Первоначально витализм трактовал, что живые организмы не происходят откуда-либо, а самозарождаются, например, мухи самозарождаются в мясе. Однако это было опровергнуто, когда ученый Франческо Реди провел опыт и накрыл мясо марлей. Никаких личинок там не появилось. Тогда были внесены поправки и сделаны выводы о том, что живое происходит только из живого. В 1828 году немецкий химик Фридрих Вёлер случайно нагрел цианид аммония и получил мочевину. То есть, из неорганической соли он получил вещество, которое образуется у млекопитающих и рыб, что полностью противоречило витализму. И как он сам написал в письме своему учителю, стал свидетелем «великой трагедии в науке — убийства прекрасной гипотезы уродливым фактом». На самом деле, конечно же, этот факт нисколько не уродлив, ведь было доказано, что с точки зрения химии никакой разницы между живым и неживым нет. Факт синтеза органического вещества из неорганического стал почвой для дальнейших открытий. Например, что жизнь на земле зародилась из химических элементов углерода, фосфора, кислорода, которые образовали простейшие РНК-молекулы, а затем начали размножаться. |
В современном мире мы можем наблюдать превращение неорганики в органику, например, при лабораторном получении ацетилена из карбида кальция и метана из карбида алюминия.
Генетическая связь в органической химии
Большинство углеводородов можно превратить друг в друга путем гидрирования и дегидрирования.
- Превращение в алканы.
а) Алкенов.
За счет разрыва пи-связи водород присоединяется по бокам от двойной связи.

б) Алкадиенов.
Реакция проходит в избытке водорода.

в) Алкинов.
Алкины имеют тоже две пи-связи, как и алкадиены, поэтому происходит присоединение за счет разрыва этих связей и образование алкана.

- Превращение в алкены.
а) Алканов.
От каждого атома углерода уходит один атом водорода и образуется двойная связь, а значит, алкен.

б) Алкинов.
Гидрирование так же, как и у алкенов за счет разрыва пи-связи.

в) Спиртов.
Превращение в алкены происходит при внутримолекулярной дегидратации. От одного атома углерода уходит водород, а от другого — ОН-группа.

- Превращение в алкадиены.
а) Алканов.
Из бутана можно получить бутадиен путем дегидрирования. От четырех атомов углерода уходит по одному атому водорода и образуются две двойные связи, а значит, алкадиен.

б) Спиртов (реакция Лебедева).
Происходит одновременная дегидратация и дегидрирование.

Превращения в кислородсодержащие соединения происходят путем гидратации и других реакций.
- Превращение в одноатомные спирты.
а) Глюкозы.
Спиртовое брожение, которое протекает под действием ферментов.

б) Алкенов.
К одном атому углерода присоединяется водород, к другому — ОН-группа.

в) Альдегидов.
К одном атому углерода присоединяется водород, к кислороду — другой атом водорода.

- Превращение в многоатомные спирты.
а) Алкадиенов.
Все двойные связи частично разрываются, по бокам от двойных связей встают ОН-группы.

б) Алкенов.

- Превращение в циклоалканы.
Снова разрываются пи-связи и на их место встают атомы водорода.
а) Аренов.

- Превращение в фенолы из изопропилбензола.
Это кумольный способ получения ацетона и фенола. В присутствии катализатора кумол взаимодействует с кислородом с образованием фенола и ацетона.

- Превращение в альдегиды.
а) Ацетилена.
Происходит присоединение за счет разрыва тройной связи и образование енола — неустойчивого спирта с двойной связью, который практически моментально перегруппируется до альдегида.

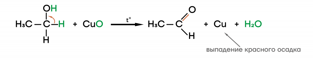
б) Первичных спиртов.
Окисление оксидом меди с образованием альдегида и красного осадка меди.

- Превращение в кетоны.
а) Всех алкинов, кроме ацетилена.
Гидратация алкинов приводит к образованию кетонов.

б) Вторичных спиртов.
Вторичные спирты окисляются оксидом меди(II) с образованием кетонов.

- Превращение в карбоновые кислоты.
а) Алкинов.
Мягкое окисление характерно только для ацетилена, остальные алкины окисляются до карбоновых кислот только в кислой или щелочной среде.


б) Альдегидов.
Альдегиды окисляются гидроксидом меди(II).

- Превращение в арены.
а) Алкинов.
Тримеризация алкинов приводит к образованию аренов.

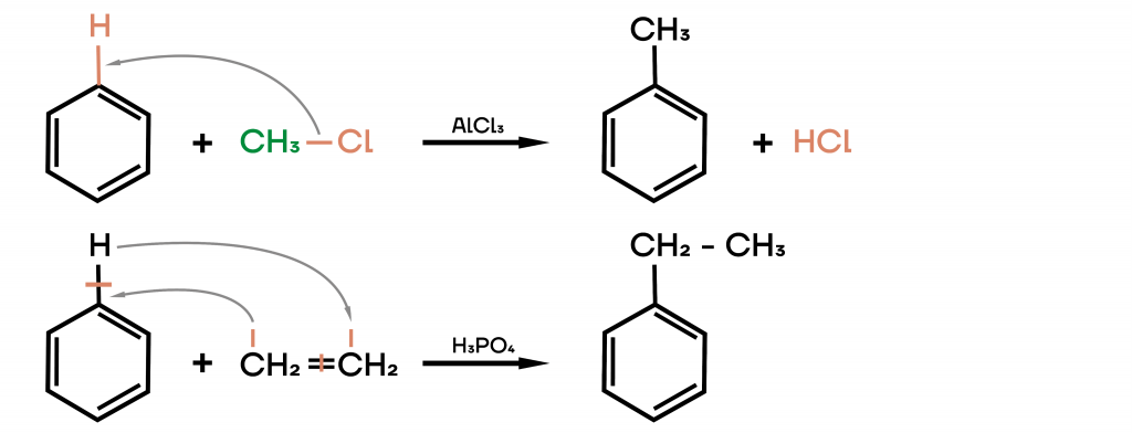
б) Аренов (реакция Фриделя-Крафтса).
Арены с галогеналканами реагируют до образования другого более крупного арена.

- Превращение в сложные эфиры.
а) Карбоновых кислот.
Реакция этерификации — взаимодействие карбоновой кислоты и спиртов.

| Лайфхак для легкого решения химических цепочек — как вещества превращаются из одних в другие? Когда решаешь химические цепочки превращений, порой бывает трудно вспомнить, какую реакцию нужно использовать для получения конкретного вещества. В таких случаях может помочь вот эта схема, отражающая всю генетическую связь между классами органических соединений: |

Все эти реакции показывают, что мир органической, да и всей химии един. Знание генетических связей поможет нам решать цепочки превращений веществ и быстро подбирать необходимые реакции.
Фактчек
- Генетическая связь — связь, которая возникает между классами химических соединений и отражает превращение соединения одного класса в вещество другого класса.
- Многие классы органических веществ способны превращаться друг в друга.
- Знания о генетической связи и ее понимание помогут вам с легкостью решать органические цепочки и понимать всю органику.
- Генетическая связь может наблюдаться даже между органическими и неорганическими соединениями.
Проверь себя
Задание 1.
Из чего можно получить алкены?
- из спиртов
- из аренов
- из карбоновых кислот
Задание 2.
Карбоновые кислоты нельзя получить из…
- бензола
- алкинов
- алкадиенов
Задание 3.
Из чего получают фенол?
- из толуола
- из изопропилбензола
- из глицерина
Ответы: 1. — 1; 2. — 1; 3. — 2.