Сложные эфиры и жиры
На этой странице вы узнаете
- Как благодаря нитроглицерину появилась Нобелевская премия?
- Как из жиров получают мыло?
- Растет ли шоколад на деревьях?
Запахи цветов настолько разнообразны, однако на ум всегда приходит что-то приятное — запах лилии, розы, ночной фиалки. Но есть растения с отталкивающим человека запахом гнилой плоти — так они привлекают мух для опыления. Запах многих цветов и фруктов — это на самом деле и есть запах эфиров, входящих в их состав. В этой статье мы познакомимся со сложными эфирами и жирами. Не пугайтесь, сложные эфиры так названы не потому, что их свойства очень сложные, а потому, что они образованы двумя классами органических веществ.
Сложные эфиры
Сложные эфиры — органические вещества, в молекулах которых углеводородные радикалы соединены через сложноэфирный фрагмент -С(О)-О-.
Общая формула сложных эфиров: CnH2nO2.
Строение сложных эфиров
У сложных эфиров атом углерода в функциональной группе -СОО- находится в состоянии sp²-гибридизации, а функциональная группа называется сложноэфирной.

Номенклатура сложных эфиров
Названия у сложных эфиров формируются следующим образом: сначала указывается радикал, связанный с кислородом, а затем кислота с суффиксом «-ат». Например, метилацетат.

Теперь рассмотрим, какие виды изомерии характерны для сложных эфиров. Выделяют три вида изомерии.
- Изомерия углеродного скелета.
Изомерия углеродного скелета связана с расположением атомов углерода в скелете молекулы. Структура молекулы может быть либо линейной, либо разветвленной, когда существует основная цепь и ответвления в виде радикалов.


- Изомерия положения сложноэфирной группы.
Этот вид изомерии связан с расположением сложноэфирной группы -С(О)-О- относительно углеводородной цепи молекулы.


- Межклассовая изомерия.
Сложные эфиры изомерны карбоновым кислотам.


Изучив различия в структуре изомеров, перейдем к рассмотрению физических свойств сложных эфиров.
Физические свойства сложных эфиров

Нужно знать, что с увеличением числа атомов углерода происходит переход из жидкого агрегатного состояния в твердое. Причем жидкие эфиры имеют фруктовый запах, поэтому их используют в парфюмерии.
Теперь рассмотрим химические свойства сложных эфиров.
Химические свойства сложных эфиров
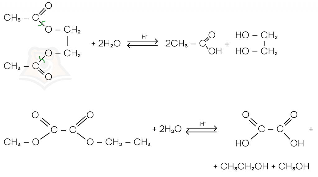
- Кислотный гидролиз.
Кислотный гидролиз — это реакция, обратная этерификации, которая протекает в присутствии серной или соляной кислот. Образуются карбоновые кислоты и спирты.


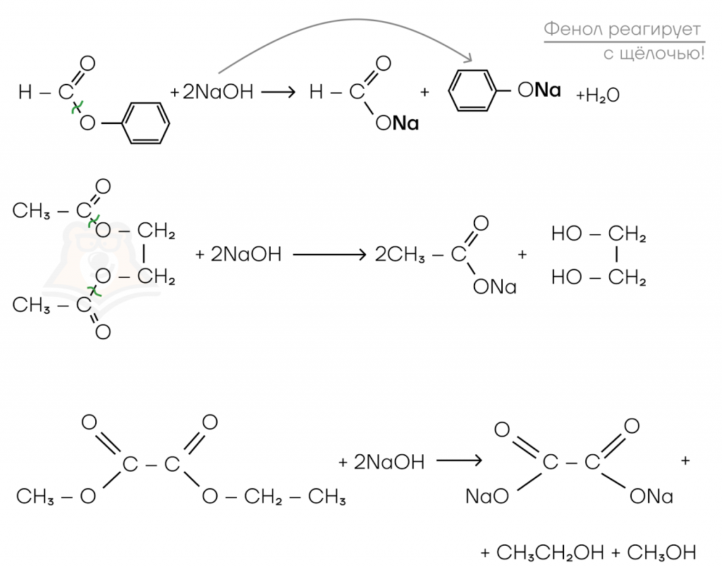
- Щелочной гидролиз.
Необратимая реакция, которая протекает в присутствии раствора щелочи. Образуются карбоновые кислоты, которые сразу же вступают в реакцию со щелочью, образуя соли. Также в результате реакции образуются спирты. Если в реакции образуется фенол, то он тоже вступает во взаимодействие со щелочью, и образуется соль.


- Гидрирование, полимеризация.
Такие реакции характерны для эфиров с кратными связями. При взаимодействии с водородом кратные связи восстанавливаются до простых. Здесь аналогично реакциям алкенов возможно присоединение по кратной связи не только водорода, но и, например, галогеноводородов. Вспомнить свойства алкенов можно, прочитав статью «Алкены».
По такой же аналогии возможны реакции полимеризации по месту двойной связи.

- Горение.
Как обычно, горение протекает с образованием углекислого газа и воды.

Для закрепления знаний решим аналог задания№15 ЕГЭ.
Задание.
Установите соответствие между названием вещества и продуктами, которые преимущественно образуются при его гидролизе.

Решение.
При гидролизе сложные эфиры распадаются на соответствующую кислоту и спирт. Рассмотрим соединения, предоставленные в вариантах А-Г. А) При гидролизе этилацетата образуются этанол и этановая кислота.

Ответ №6 правильный.
Б) При гидролизе бутилацетата образуются бутанол и этановая кислота.

Ответ №2 подходит.
В) При гидролизе этилпропионата образуются этанол и пропановая (пропионовая) кислота.

Ответ №4 подходит
Г) При гидролизе пропилацетата образуются пропанол и этановая кислота.

Ответ №5 верный.
Ответ: 6245
Итак, мы ознакомились с химическими свойствами сложных эфиров, давайте перейдем к изучению методов, которые позволяют получать эти соединения.
Получение сложных эфиров
Получают сложные эфиры несколькими способами.
- Реакции этерификации.
Реакция этерификации — реакция взаимодействия кислот со спиртами. Реакция протекает в присутствии кислоты и при нагревании. В результате реакции образуются сложные эфиры и жиры.
В реакцию могут вступать и многоатомные спирты, например, глицерин, а также неорганические кислоты, например, азотная. Полученный при взаимодействии глицерина и азотной кислоты сложный эфир — нитроглицерин — является основой для производства взрывчатого вещества — динамита, а также некоторых лекарственных средств.
Фенол в реакции этерификации не вступает. Эфиры фенола получают косвенным путем.

| Как благодаря нитроглицерину появилась Нобелевская премия? Нитроглицерин был синтезирован итальянским химиком Асканио Собреро в 1846 году, им же и было обнаружено свойство нитроглицерина взрываться при самых слабых ударах, сотрясениях и нагревании. В это же время Альфред Нобель открыл в Швеции заводы по производству нитроглицерина — перспективного взрывчатого вещества. Перспективного за счет того, что его взрывчатая сила намного больше уже известного в те времена тротила. Но первое время все шло не так гладко, рабочие погибали от взрывов, а также от отравления нитроглицерином. Приглашенный врач Д. Мерилл определил, что нитроглицерин оказывает влияние на сердечно-сосудистую систему, вызывая сильное падение артериального давления и смерть. Позднее Нобель изобрел динамит — нитроглицерин с добавлением горной породы диатомита. Динамит уже не был ядовитым и не взрывался от любого толчка. В 1879 году Д. Мерилл, изучая нитроглицерин, открыл возможность его использования в качестве лекарства, чем спас Альфреда Нобеля во время приступа стенокардии. В 1896 году Альфред Нобель умер, завещав все доходы от ценных бумаг своих заводов ежегодно выдавать в виде премий от его имени ученым сделавшим важные открытия в области химии, физики, медицины. Вот так деньги от производства нитроглицерина позволили создать известную во всем мире и проводимую по сей день Нобелевскую премию. |
- Взаимодействие солей карбоновых кислот с галогеналканами, а также галогенангидридов карбоновых кислот с алкоголятами.
При взаимодействии солей карбоновых кислот с галогенпроизводными и галогенангидридов с алкоголятами образуются неорганические соли и сложные эфиры.

- Взаимодействие ангидридов карбоновых кислот со спиртами.
В статье «Карбоновые кислоты» мы уже упоминали ангидриды карбоновых кислот и учились отличать их от других органических соединений. При взаимодействии ангидридов карбоновых кислот со спиртами образуются сложные эфиры.

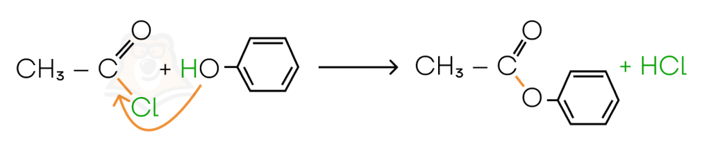
- Получение сложных эфиров фенола.
Сложные эфиры фенола можно получить взаимодействием галогенангидрида с фенолом.

Также сложные эфиры фенола можно получить взаимодействием ангидридов карбоновых кислот с фенолом.

Применение сложных эфиров
Благодаря своему запаху, сложные эфиры используют как ароматизаторы в парфюмерии и пищевой промышленности. Например, грушевый вкус в дюшесе дает нам уксусноизоамиловый эфир.

Сложные эфиры применяют для производства пластмасс (полимеризация сложных эфиров), лаков, растворителей, красок.
В медицине из сложных эфиров производят валидол, витамины A, E, B1, другие лекарственные средства.
После изучения применения сложных эфиров, перейдем к изучению их производных — жиров, и начнем мы со строения этих соединений.
Строение жиров
Жиры — сложные эфиры, образованные глицерином и высшими одноосновными карбоновыми кислотами (жирными кислотами) в результате реакции этерификации.
Другое название жиров — «триглицериды».
В структуре жиров, как и в структуре сложных эфиров, встречается сложноэфирный функциональный фрагмент –C(O)–O–, которому характерно строение плоского треугольника с углами ~120° между любыми связями за счет sp2-гибридизации карбоксильного атома углерода:

Общую формулу жиров можно представить следующим образом:

где R, R’, R’’ — радикалы, которые могут быть как разными, так и одинаковыми.
Триглицериды могут содержать три одинаковых кислотных остатка R=R’=R’’, тогда они считается простыми, а если кислотные остатки разные — смешанным.

Жиры могут быть образованы предельными и непредельными кислотами.
| Предельные кислоты (нет двойных связей) | Непредельные кислоты (есть кратные связи) |
| Масляная кислота C3H7COOH. | Олеиновая кислота С17Н33СООН(содержит одну двойную связь). |
| Пальмитиновая кислота C15H31COOH. | Линолевая кислота C17H31COOH(содержит две двойные связи). |
| Стеариновая кислота C17H35COOH. | Линоленовая кислота C17H29COOH(содержит три двойные связи). |
Триглицериды бывают

- Растительные жиры образованы непредельными кислотами.
- Животные жиры образованы предельными кислотами.
Теперь, когда мы разобрались со строением жиров, давайте перейдем к разговору о номенклатуре этих соединений.
Номенклатура жиров
Триглицериды называют по входящим в их состав кислотным остаткам. Названия триглицеридов с тремя одинаковыми радикалами составляются присоединением к корню названия кислоты слова «три» и окончания «ин».
Например, трипальмитин, трилинолеин.

В смешанных триглицеридах указывается название каждого кислотного остатка, а цифрой — его положение в молекуле глицерина. Традиционно углеродные атомы глицерина нумеруют сверху вниз.
Кислотные остатки в названии смешанного триглицерида обозначают только корнем слова и добавляют суффикс «-ин» к кислотному остатку, расположенному у третьего углеродного атома.
Например, название 1-олео-2-пальмито-3-стеарин означает, что триглицерид образован олеиновой, пальмитиновой и стеариновой кислотами, которые расположены, соответственно, у 1, 2 и 3 углеродных атомов глицерина.

После изучения номенклатуры, давайте теперь поговорим о физических свойствах жиров.
Физические свойства жиров
Триглицериды, жидкие при комнатной температуре, называют маслами, а твердые или полутвердые при комнатной температуре — жирами.
Химические свойства жиров
Здесь все просто. Такие же, как и у эфиров.
- Гидролиз.
Протекает в разных средах, в нейтральной и кислой образуются глицерин и кислота, из который был образован жир.

В щелочной среде образуются соль высшей карбоновой кислоты и глицерин.

| Как из жиров получают мыло? Щелочной гидролиз жиров называется омылением. Это название связано с тем, что именно взаимодействием жира и щелочи в промышленности получают мыло — соль высшей карбоновой кислоты. Стеарат калия, полученный в реакции выше — это жидкое мыло, а стеарат натрия — твердое. Вы знали, что мыльные оперы напрямую связаны с мылом? Мыльными операми в наше время называют длинные-длинные сериалы, которые идут много лет и не обременены глубоким замыслом. Но в 30-х годах прошлого столетия мыльные оперы транслировали по радио, а поскольку радио было единственным средством массовой информации в те времена, то собирало просто огромную аудиторию. И конечно, такие мыльные оперы стали отличной площадкой для размещения рекламы, а активным рекламодателем стала компания по производству моющих средств «Проктер энд Гэмбл» (Procter and Gamble), которая просто заполонила радиоэфир рекламой мыла. |

кисти Фредерика Моргана (до 1915)
- Гидрирование.
Опять же, такая реакция возможна, только если между атомами углерода в составе кислотного остатка есть кратная связь. Кратная связь восстанавливается, и в результате реакции образуются насыщенные жиры.

Мы изучили химические свойства жиров. Далее рассмотрим их способы получения.
Получение жиров
Жиры получают только одним способом: путем взаимодействия глицерина с жирными кислотами.

Для закрепления знаний решим аналог задания№15 ЕГЭ.
Задание.
Установите соответствие между формулой сложного эфира и исходными веществами, использованными в реакции этерификации.

Решение.
Рассмотрим структурные формулы эфиров.
А) С2H5COOСH(CH3)2 — сложный эфир, который получается при взаимодействии пропионовой кислоты и изопропилового спирта.

Ответ 4.
Б) При взаимодействии валериановой кислоты и метилового спирта образуется метиловый эфир валериановой кислоты CH3(CH2)3COOCH3.

Ответ №3 подходит.
В) Этиловый эфир муравьиной кислоты образуется при взаимодействии муравьиной кислоты и этилового спирта.

Ответ №1.
Г) Тристеароглицерин C3H5(OCOC17H35)3 образуется при взаимодействии стеариновой кислоты и глицерина.

Ответ №5 верный.
Ответ: 4315
Мы узнали, как можно получить жиры. А где же они применяются? Узнаем в следующем разделе.
Применение жиров
Пожалуй, именно жиры обладают самым бытовым применением среди всех химических веществ, ведь жиры входят в состав многих продуктов питания. Например, масло какао в шоколаде, животные жиры — свиное сало, растительные жиры — оливковое масло, которым мы заправляем салаты.
| Растет ли шоколад на деревьях? Шоколад получают из бобов «шоколадного» дерева — какао дерева. Эти бобы собирают, высушивают в течение нескольких дней, а затем получают из них какао-порошок и какао-масло — основу для производства любимого нами шоколада. Масло какао по своему составу содержит набор жирных кислот: олеиновую, стеариновую, пальмитиновую и линолевую. Именно олеиновая кислота уменьшает содержание холестерина в нашем организме. |
Жиры имеют различные свойства, включая омыляющие свойства.
Омыление — это процесс, в результате которого жиры смешиваются с водой и образуют эмульсию.
Это возможно благодаря структуре мыла, состоящей из молекул, которые содержат гидрофобные (любящие жир) и гидрофильные (любящие воду) группы.
Омыляющие свойства жиров широко используются в производстве мыла. При смешивании жиров, таких как оливковое масло или пальмовое масло, с щелочным раствором образуется мыло.
Мыло — наиболее распространенный продукт гигиены, используемый для очищения тела и рук от грязи, масла и бактерий. Однако, мало кто задумывается о химической природе и механизме действия мыла.
Когда мыло взаимодействует с водой, гидрофильные группы притягивают молекулы воды, тогда как гидрофобные группы притягиваются к маслам, грязи и микробам на поверхности кожи.
Эффективность мыла при очищении заключается в его способности разрушать межмолекулярные связи между грязью и кожей.
Кроме того, мыло также способно растворять жиры и масла, делая их растворимыми в воде и облегчая их удаление. Это объясняет, почему мыло широко используется не только для очищения кожи, но и для удаления грязи с посуды, одежды и других предметов.
Важно отметить, что мыло не только удаляет загрязнения, но и уничтожает микроорганизмы, такие как бактерии и вирусы.
Мыло является мощным и эффективным моющим средством благодаря своей химической структуре и механизму действия. Оно отлично справляется с очищением и защитой нашей кожи и обеспечивает чувство свежести.
Жиры также используются в косметической и фармацевтической промышленности. Например, касторовое масло для волос и рыбий жир, который мы принимаем в капсулах.
Жиры являются составляющей нашего организма в виде жировой ткани.
Из жиров изготавливают масляные краски, получают глицерин, карбоновые кислоты.
В заключение, сложные эфиры и жиры играют фундаментальную роль в биохимии организма, обеспечивая энергию и структурные компоненты. Однако их функционирование тесно связано с другими биологически важными веществами, такими как белки и углеводы. И чтобы узнать больше об этих биологически важных веществах, рекомендуем вам ознакомиться со статьей, посвященной этой увлекательной теме «Биологически важные вещества».
Термины
Эмульсия — жидкость, содержащая во взвешенном состоянии микроскопические капельки других, нерастворимых в ней жидкостей.
Фактчек
- Сложные эфиры — органические вещества, в молекулах которых углеводородные радикалы соединены через группу -СОО-.
- Общая формула сложных эфиров выглядит так: R1COOR2.
- С увеличением числа атомов углерода происходит переход из жидкого агрегатного состояния в твердое. При этом жидкие эфиры имеют фруктовый запах.
- Для сложных эфиров характерны три вида изомерии: изомерия углеродного скелета, положения сложноэфирной группы и межклассовая изомерия.
- Жиры — сложные эфиры, образованные глицерином и высшими одноосновными карбоновыми кислотами (жирными кислотами).
Проверь себя
Задание 1.
Из чего состоят жиры?
- Из глицерина и трех остатков жирных кислот
- Из глицерина и двух остатков жирных кислот
- Из глицерина и одного остатка жирных кислот
- Из глицерина и трех нитрогрупп.
Задание 2.
Какой запах имеют жидкие сложные эфиры?
- Фруктовый
- Овощной
- Грибной
- Рыбный
Задание 3.
Для каких соединений характерен щелочной гидролиз?
- Только для сложных эфиров
- Только для жиров
- И для жиров, и для сложных эфиров
- Только для эфиров с кратными связями
Задание 4.
Какие виды изомерии характерны для сложных эфиров?
- Изомерия углеводородного скелета, изомерия положения сложноэфирной группы, межклассовая изомерия с простыми эфирами.
- Изомерия углеродного скелета, изомерия положения двойной связи, межклассовая изомерия с карбоновыми кислотами.
- Изомерия углеводородного скелета, изомерия положения карбонильной группы, межклассовая изомерия с карбоновыми кислотами.
- Изомерия углеводородного скелета, изомерия положения сложноэфирной группы, межклассовая изомерия с карбоновыми кислотами.
Задание 5.
С помощью какой реакции можно получить сложные эфиры фенола?
- Реакции этерификации
- Реакцией с галогенангидридом
- Реакцией с галогеналканами
- Реакцией с карбоновыми кислотами
Ответы:1. — 1; 2. — 1; 3. — 3; 4. — 4 ; 5 — 2.